東京都のパートタイマー実態調査
中小企業にも「同一労働同一賃金」が適用されて、1年以上が経過しました。企業ごとに取り組み状況は異なると思いますが、今回は今年4月に公表された東京都の「令和3年度 パートタイマーに関する実態調査」を紹介します。
初めに正社員とパートタイマーの処遇の違いについてみると、「役職手当」、「家族手当・扶養手当」及び「住宅手当」は、正社員ではいずれも5割を超えている一方で、パートタイマーにおいてはいずれも2割未満となっていました。
また、正社員とパートタイマーの双方に制度や手当が「ある」と回答した事業所に、その制度の内容に差があるかを尋ねると、「定期的な昇給」と「退職金」については、正社員とパートタイマーとの間で制度・支給の内容に差が「ある」と回答した事業所が多い一方で、各種の手当(「退職金」を除く)や休暇・休職制度については、正社員とパートタイマーとの間で制度・支給の内容に差が「ない」と回答した事業所が多い結果でした。このように、手当・休暇・休職については、正社員とパートタイマーで制度に差がないケースが多いことが明らかになりました。
次に直近5年間に正社員とパートタイマーとの間の不合理な待遇差をなくすための取り組みを実施したかを尋ねると、「実施した」が29.6%であり、「実施する予定である」(11.5%)と合わせると約4割でした。これに対して、「実施していない」は23.9%でした。なお、「待遇差に関する点検を行い、不合理な待遇差がないことを確認した」が32.9%と最も多い結果でした。
なお、労働政策研究・研修機構(JILPT)の調査では、2020年10月1日現在で「同一労働同一賃金ルール」への対応(雇用管理の見直し)状況を尋ねると、「既に必要な見直しを行った(対応完了)」が14.9%、「現在、必要な見直しを行っている(対応中)」が11.5%、「今後の見直しに向けて検討中(対応予定)」が19.5%となり、総じて「必要な見直しを行った・行っている、または検討中」の企業が4割超となりました。東京都の調査では、「実施した」が29.6%だったのと比べると、統計の取り方が違うので一概にはいえませんが、「同一労働同一賃金」対応を昨年以降実施した企業が少なくないといえるでしょう。
なお、実施割合と企業規模の関係では、全常用労働者別にみると、「31~50人」では「実施していない」が最も多く「51 人~100 人」、「101 人~300」では「待遇差に関する点検を行い、不合理な待遇差がないことを確認した」が最も多い結果でした。また、「301 人~500 人」、「501~1000 人」、「1001 人以上」では「実施した」が最も多い結果でした。
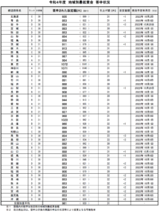
不合理な待遇差をなくすための取り組みを「実施した」または「実施する予定である」事業所に、実施済みまたは実施予定の具体的な取り組みを尋ねると、「実施した」と「実施予定」の合計が最も多いのは「休暇制度の見直し」(44.5%)であり、次いで、「待遇差に関する根拠の明確化」(41.7%)、「正社員への転換制度の導入・見直し」(36.5%)、「基本給の引き上げ・算定方法の変更」(36.0%)となりました。休暇制度は比較的取り組みやすいところから取り組んでいるという印象がありますが、「基本給の引き上げ・算定方法の変更」が36%に上るところにも留意が必要です。




